Sigma-datla ADC学习笔记1——采样、量化、整形
Sigma delta ADC学习记录
一、采样
模数转换器(ADC)和数模转换器(DAC)在信号调制中起着关键作用,信号调制是真实世界与虚拟世界的接口,真实世界中的时间和幅度上连续的信号在虚拟世界中表示为时间和幅度上离散的量。
如图,输入信号xin(t)具有B Hz的带宽, 根据奈奎斯特采样定理,只要采样率fs 达到 2B,就可 以从采样中完美地重建信号。实际上,输入信号通常被噪声破坏,而噪声可能具有频率范围 [0,B]之外的频率分量。因此,在采样之前,xin(t)必须通过抗混叠滤波器滤波,该滤波器能消除带外噪 声,否则,这些带外噪声在采样之后会混叠到信号频带中,从而降低 xin(t)的采样质量 。

二、量化
量化是一种非线性、无记忆的操作,符号如下图所示:

传输曲线呈阶梯状,通常是均匀的,因此任何两个相邻的输出电平都相差一个固定的间距Δ。在一定的输入范围内,阶梯以斜率为k2的直线贯穿,并在此之后饱和。
实际应用中,量化器是用双极输入实现的,传输曲线是关于y的奇函数 。根据阶梯 (step)或点的数量(用 M 表示),可以得到两种类型的传输曲线。

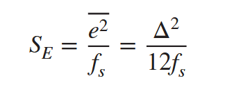
假设量化噪声e在全频段是均匀分布的随机白噪声,分布范围为[-Δ/2,+Δ/2],与量化误差有关的公式为


a)概率密度函数(PDF) b)功率谱密度(PSD)
同样也会均等分布在[-fs/2,+fs/2]范围内,可以得到

因此,量化误差的功率谱密度(PSD)在[-fs/2,+fs/2]范围内为

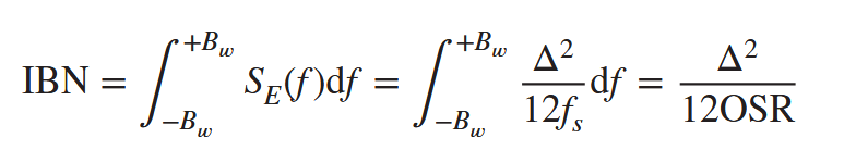
当一个奈奎斯特ADC的fs = 2Bw时,所有量化噪声功率落在信号带宽内;过采样ADC的量化噪声功率仅有一部分落在信号带宽内,如图

因此由过采样量化器引起的带内噪声功率为

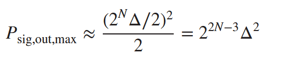
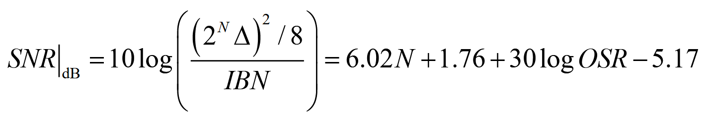
所以DR(最大幅值时输入正弦波的频率对应的输出功率与带内量化噪声功率比值)为


化简为

对于奈奎斯特ADC(OSR=1)来说,量化位数每增加一位,DR增加约6dB;对于过采样ADC(OSR>1)来说,OSR每增加一倍,DR增加约3dB。
三、噪声整形
提高过采样率能够有效地提高信噪比,但是越高的 OSR 要求越高的 fs,fs的提高不仅会加大电路的功耗,也会带来更大的设计难度。另一个重要技术是噪声整形技术,从而进一步降低带内噪声的能量。
1、一阶噪声整形

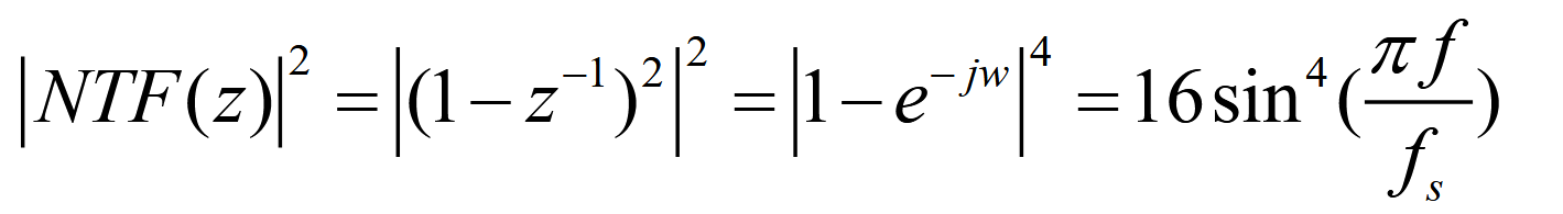
如图为一阶sigma detla 调制器原理图,整个调制器的输出Y (z) 等于积分器输出V (z) 与量化器产生的量化误差 E(z) 之和,一阶调制器的传递函数为

而一般 Sigma-Delta 调制器的系统传递函数可以表示为

其中, STF (Signal Transfer Function)为信号传递函数, NTF (Noise Transfer Function)为噪声传递函数,因此

从定性的角度看,输入信号在传递过程中仅存在一个延迟关系,而对量化噪声来说,与之相关的噪声传递函数在靠近低频时越来越小,而在高频处逐渐增大,这意味着该传递函数具有着高通的特性,能够抑制低频处的量化噪声,并将其推至高频段, 起到一个整形的效果。
在频域中做定量分析,将

![]()
带入STF和NTF,得到

对于信号来说,传递函数幅值平方恒为1,所以输入信号不发生改变;而噪声呈现抑低频,扬高频的特性。下图为过采样ADC对带内噪声的影响。

将过采样与噪声整形技术结合起来,推导出信号带内的噪声功率为

由于过采样ADC fs>>fb,所以

可以看出,提高 OSR 可以有效地提高 SNR,OSR 每增加一倍, SNR 可增加 9dB。
2、二阶噪声整形

二阶调制器传输函数为

对于噪声传递函数

求出二阶调制器的最高输出信噪比为

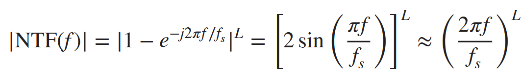
3、L阶噪声整形
对于噪声传递函数

带内噪声功率

其最大SNR即DR表示为

更多推荐


所有评论(0)